温州青山公馆售楼处电话→温州青山公馆24小时电话→温州青山公馆2025最新房价→温州青山公馆楼盘百科详情
扫描到手机,新闻随时看
扫一扫,用手机看文章
更加方便分享给朋友
🌈温州青山公馆售楼处电话☎️400-8787-098转接4444(专人接听)
🌈温州青山公馆营销中心电话:☎️400-8787-098转4444【营销中心】
🌈温馨提示:拨打400电话,听到嘀声后,输入分机号4444即可!
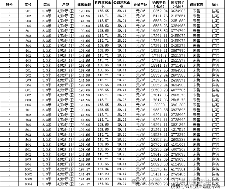
8月22日 青山公馆 (备案名:青山云庐) 加推 第 5幢计建筑面积共6117.31㎡,共36套商品住宅。
🌈温州青山公馆售楼处电话☎️400-8787-098转接4444(专人接听)
🌈温州青山公馆营销中心电话:☎️400-8787-098转4444【营销中心】
项目位于温州市龙湾区瑶溪街道——瑶溪南单元12-F-28地块。项目规划建造中式联排合院,预计于2027年7月26日交付使用。
项目面向高端客群,本期在售建面约 141-198㎡洋房 ,公开预销售毛坯均价18866元/ ㎡(未含优惠)。最低15411元 / ㎡(未含优惠),最高21294 元/ ㎡ (未含优惠)。
毛坯交付 备注:本文标价仅供参考,最终以房开为准。
预售价格及其变动情况

🌈温州青山公馆售楼处电话☎️400-8787-098转接4444(专人接听)
🌈温州青山公馆营销中心电话:☎️400-8787-098转4444【营销中心】
🌈温馨提示:拨打400电话,听到嘀声后,输入分机号4444即可!
声明:本文由入驻焦点开放平台的作者撰写,除焦点官方账号外,观点仅代表作者本人,不代表焦点立场。
